性爱直播-性爱直播官方网站
2026年硕士研究生拟录取名单公示
浏览量:
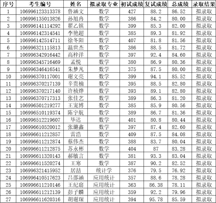
现将性爱直播 2026年硕士研究生招生考试拟录取名单公示如下:

公示时间7个工作日,若对拟录取情况有异议,请于公示期内与性爱直播 相关人员进行联系。
咨询电话:029-88431694
咨询邮箱:xuanwang@xazbofficial.com
性爱直播-性爱直播官方网站
2026年4月1日

英文


微信二维码